毒爆是死灵法师毒骨系第四层的技能,需要淬毒匕首、牙和尸体爆炸作为前置。在其中投入技能点数能够提升淬毒匕首和剧毒新星的伤害,而在这两项技能中投入点数也能够反过来提升毒爆的伤害。使用技能时,将消耗一具尸体并在该位置产生一阵毒雾,使触碰到毒雾的敌人受到长时间的毒素伤害。

技能特性:
(1) 毒爆与尸体爆炸一样,会将目标尸体转为不可用状态,使用限制很大。
(2) 毒雾的持续时间以及扩散范围并不会随等级增长。
(3) 毒爆的法力消耗固定为8点,远低于大部分毒骨技能。
(4) 其毒素伤害的持续时间随技能等级增长,基础为2秒,每1等级多0.4秒。
(5) 所以在计算伤害的时候会多一项随技能等级变动的乘数。
(6) 也就是在大多数技能按一次函数计算的情况下,他们走的是二次函数。
(7) 因此这类技能在高等级下有着极高的面板。
(8) 但是由于毒素持续时间的原因而没能获得足够的DPS。
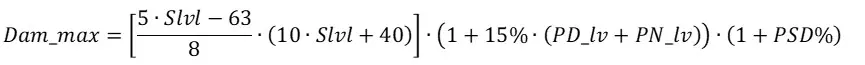
(9) 下式为技能等级超过29级时,毒爆最大毒素伤害的计算式:


实际应用:
(1) 由于范围小、使用限制明显且伤害效率有限,所以几乎没有实战效果。
(2) 伤害效率有限的意思是毒爆的平均每秒伤害和同等装备下的毒环差不多,但毒环的释放没有限制。
(3) 而且毒爆的影响范围很小,释放出的毒云持续时间也很短,单次释放能够影响的怪物几乎仅限于释放点附近的那几只。
(4) 然后再回过头看一眼剧毒新星的范围,高下立判。
(5) 因此在实战中使用毒爆不如直接使用毒环,然后把怪物的尸体留着用来炸。
(6) 在此基础上形成的毒炸玩法也是早期炸牛的思路之一,虽然后来被纯炸淘汰。
(7) 于是毒爆的实际作用就成了为毒环提供伤害加成。
(8) 也因此而成为了所有毒系死灵法师都会点满的技能。
(9) 以及用来欣赏高额的站街面板,毕竟这项技能的伤害面板真的很高。
换件野蔷薇就能过百,极限甚至能过两百,虽然没有什么意义
(10) 因此部分萌新在没有注意到逐渐增长的毒素持续时间时也会把它当做神技,而后在实际使用中发现以上的各类问题。
(11) 不过实际问题不大,毕竟在提高毒爆伤害的同时也有了高伤害的剧毒新星。
(12) 能够和毒爆比拼面板的只有刺客聚满虎击后的神龙摆尾以及亚马逊的毒枪。
(13) 由于龙虎需要聚气,所以纯站街的极限面板就在毒枪和毒爆之间。
(14) 不过实际上龙虎刺客的高面板也是来源于神龙摆尾伤害转化带来的累乘计算。
(15) 虽然同等级下毒枪的基础数值更高,但由于标枪技能在技能词缀、专属装备以及武器孔位上的劣势,在极限堆面板的情况下毒枪略逊于毒爆。
(16) 不过重置版中神龙摆尾获得加强后,毒爆在极限面板上就遇到了一个强有力的竞争对手,虽然实际上极限面板除了好看之外并没有什么实质性的作用。
虽然毒爆虫与内容无关,而且也远比毒爆技能有用
结论:
(1) 毒爆的最大作用是为剧毒新星提供伤害加成。
(2) 其次则是冲击游戏中最高的伤害面板。
(3) 但是可惜的是,在游戏中极限面板并没有实际作用。
写在最后:考虑到毒爆的极限伤害,那自然是追求技能等级和更高的毒素技能增强(PSD)。于是极限面板的装备搭配可以大致确定,2孔3毒骨技能头环、3毒骨技能项链、3毒爆3毒骨技能2孔手杖、50PSD野蔷薇、3毒爆3毒骨技能2孔专属盾(毒盾多2毒珠的10PSD但对面板的提升不如6技能)、塔格奥之爪、蜘蛛之网、2枚乔丹或婚戒、8枚毒骨板子、火炬、毁灭、副手CTA以及技能神殿,所有孔位插满5PSD毒珠,能达到56级技能以及合计105PSD,面板应该能超过200K,但并没有实际作用。